酸奶作为主要的日常饮品,不仅种类繁多,且需求量巨大。人民在生活质量迅速提升的状况下,对乳制品风味和质量的要求也愈来愈高。为了满足消费者日益增长的消费需求,目前市场上的酸奶产品种类日益丰富,例如:不同菌种发酵酸奶、添加不同果肉的酸奶,以及营养强化酸奶等。酸奶的风味和感官品质受到其本身酸甜度、质构、水果或谷物颗粒添加物含量等的影响。

食品感官分析可为食品企业提供明确的市场信息,便于其进行商业利益考量或决策。因此,采用感官评定分析酸奶风味,可为酸奶品质提升提供有效信息。其中,针对酸奶产品的专业的描述性感官评定需要经过培训的评价员分别从鼻前香气、酸奶在勺子上的状态、入口后的风味、品尝后的余味等方面描述酸奶风味轮廓,利用标度法对产品的风味强度进行评价,最后利用统计方法进行描述词分析。培训和维护专业的感官评价员需要耗费大量的时间和财力,因此现在感官科学领域也逐渐发展出以消费者为群体的感官测评方法。此方法可以较为快速地获得产品的感官描述、清晰地表示出产品间的差别,是研究消费者感官偏好的重要手段。消费者感官测评通常采用9点喜好标度对样品的喜好程度进行量化赋值,同时通过5点打分法测试消费者对样品的接受度,再基于对实验数据的喜好度分析、词云图分析、惩罚分析等判断样品是否受到消费者的喜欢,从而更好的立足于市场。
“恰好”标度(justaboutright,JAR)借助于消费者的个人感知标准对样品属性的最适水平进行测定,可判断出各样品的属性强度与消费者心中理想的属性强度之间的偏差,以及样品偏离消费者理想样品的距离及方向。惩罚分析是JAR标度中常用的数据分析方法。惩罚分析将消费者喜好度与感官属性的接受度相结合,利用统计模拟,将数据分析得到的结果应用到酸奶感官品质的提升中。通过把喜好度数据与JAR数据联系起来,定性地得出对样品整体喜好度影响最大的属性、属性词的优化方向及改进优次顺序,对提升消费者接受度具有重要的意义。该方法已经成功运用于不同产品的研究,例如,YANG等通过93名消费者对6种混配茶进行评分,结果发现消费者不喜爱苦涩味较重的茶;丛懿洁等发现青岛、石家庄、西安的消费者对常温酸奶喜好度认知趋势整体一致。陈玥璋等用喜好9点标度法研究植物水饮料,证明消费者对薄荷露和花露的整体喜好度较高;安琪等采用9点喜好度和接受度测试不同年龄段消费者对黄大茶喜好度和感官属性的评价;支瑞聪等运用消费者惩罚分析测试风味液态乳的关键感官属性,表明乳香味和稠厚感对样品的整体口感影响较大。
产品上市前对消费者进行感官喜好度和接受度调查可以让研发人员了解消费者最看重的感官特性,及该区域消费者对于感官特性的偏好,从而更好的指导新品的研发或老配方的升级。例如,HU等通过感官评价实验发现是否添加大豆多肽对酸奶的感官品质并无显著影响。CHETACHUKWU等制备了一款新型低脂椰果酸奶,通过感官评价实验发现其气味、风味、质地等喜好度得分均高于全脂椰果酸奶。通过感官评定等相关研究发现添加合生元和益生元的桃味酸奶的接受度普遍较高、添加脱脂奶粉能提高希腊式浓缩酸奶的接受度、发酵型乳制品比未发酵型乳制品更受欢迎等。
01、材料与方法
1、材料
4种待测发酵酸奶样品(编号:275、467、532、661)。。样品采用4℃冷藏保存,并于一周之内完成喜好度、接受度测试。
2、感官测试人员
在上海交通大学闵行校区内共招募170名酸奶消费者,包括61名男性、109名女性;年龄在18~60岁之间,均无长期服药和吸烟历史,无酗酒习惯。这些消费者均为在上海居住两年以上的常住人口。消费者基本信息显示,受测消费者中有49.5%属于消费频率较高的人群,每周消费至少1次;只有5.9%的人群很少购买酸奶。参与测试的消费者基本为中青年,年龄18~25岁的人群占比50.0%,26~35岁的人群占比37.7%,其他年龄层的人群占比为13.0%。
3、感官测评
实验环境:感官测评在上海交通大学农业与生物学院的感官评定室内进行。室内温度维持在22℃±2℃,湿度60%,光线采用白光照射。
样品准备:用量筒量取40mL待测酸奶,置于85mL编有3位随机数字的品评杯中。样品准备好后仍置于4℃保存,在测试前拿出,并在室温22℃±2℃呈递样品。
4、实验流程
消费者按照预约时间到达感官评定实验室。先阅读知情同意书,确认无误后签署。消费者进入感官小间内,扫描台面二维码,填写问卷。消费者依次品尝样品,并填写问卷。每组样品间用清水漱口。如有疲惫,需适当休息。消费者提交问卷后,检查是否完成所有问题。
消费者问卷主要包括消费者背景信息,消费者对4种酸奶测评后的喜好度和接受度,同时还允许消费者提出酸奶所需要提升的感官属性的主观建议,将获得的词汇按照频率绘制出词云频率图进行分析。
5、喜好度测试
搜集消费者对待测酸奶的整体喜好度和香气喜好度。采用9点打分制,即5分为不喜欢不讨厌;低于5分为不喜欢,且分数越低,消费者不喜欢的程度加深;高于5分为喜欢,且分数越高,消费者喜好的程度加深。
6、词频统计分析
词频统计是一种词汇分析研究方法,通过对一定长度文本的词频进行统计、分析,进而描绘出词汇规律。将消费者对于酸奶样品的感受用语言表述,从中提炼出某些词汇的频率,由词汇频率高低表征消费者对酸奶样品的直观感受。
7、接受度测试和惩罚分析
搜集消费者针对酸奶香气、酸味、甜味、稠度4个属性的接受度。采用5点打分制。以香气为例,不同分值表示1:香气太弱、2:香气有点弱、3:香气刚好、4:香气有点强、5:香气太强。
02、材料与方法
1、酸奶喜好度分析
由表2可知,4种酸奶的整体喜好度与香气喜好度平均值都在5分以上,说明消费者的认可度较高。4种样品在整体喜好度和香气喜好度上均存在显著性差异。其中,467样品的整体喜好度与香气喜好度最低,都为5.7分;532的整体与香气喜好度最高,都是6.7分。整体喜好度与香气喜好度的相关性分析结果表明,这4种酸奶的香气喜好度与整体喜好度之间均存在正相关性(R>0,表2),即香气的喜好度越高,酸奶的整体喜好度也会越高,一般认为相关系数超过0.6,相关性较好,其中酸奶467与661的相关性系数分别为0.825与0.800,表明两种酸奶的香气会显著影响整体喜好度。

由图1A可以看出,对于酸奶的整体喜好度,消费者主要分布在第一和第二象限的两种酸奶周围,所以消费者更倾向于样品275与532。图1B显示消费者关于香气的选择有类似的趋势。467号酸奶获得最少消费者的倾向,而532周围分布的消费者数量最多。结合表2中的喜好度分析结果,表明酸奶532和275的产品更受消费者的欢迎。
2、酸奶词云频率分析
将消费者所描述的酸奶产品需要提升的感官属性词汇按照频率分析,得到词云频率图(图2)。由图2可知,275排名前3的词汇为:有点酸(频次23)、太甜(频次17)、香气有点重(频次15);467排名前3的词汇为:味道(频次27)、太甜(频次20)、太酸(频次17);532排名前3的词汇为:太甜(频次30)、有点稀(频次9)、有点酸(频次7);661排名前3的词汇为:太甜(频次21)、有点酸(频次20)、味道(频次20)。由此可见,275需要减少酸度、甜度和香气;467需要改善味道,减少甜度、酸度;532需要减少甜度、酸度,提升稠度;661需要减少甜度、酸度,改善味道。


由词云频率图可知,消费者关注酸奶的感官属性主要包括酸度、甜度、香气、稠度。支瑞聪等在研究不同地区液态奶的风味喜好时,发现乳香味与甜味呈显著正相关性,甜味与香气呈协同效应,黏稠度与香气也呈协同效应,可以通过改变发酵温度、发酵时间、发酵剂添加量等工艺条件来调节香气,进而来调节酸奶的甜味和口感。此外,在酸奶中添加甜味剂也可以达到调整酸甜度的目的。其中,安赛蜜、甜蜜素、阿斯巴甜、阿力甜、纽甜、糖精钠6种合成的甜味剂更是受到添加剂行业的青睐。但是不同甜味剂在口腔中的甜味感知与蔗糖的甜味相比,在甜味的持久性和余味等方面会有一定的差异。这些也会影响到消费者甜味感知。综上,从这些属性进行消费者的接受度调查,可以更直接地获得消费者所青睐的酸奶品质,并对酸奶风味做出定向调整。
3、酸奶惩罚分析
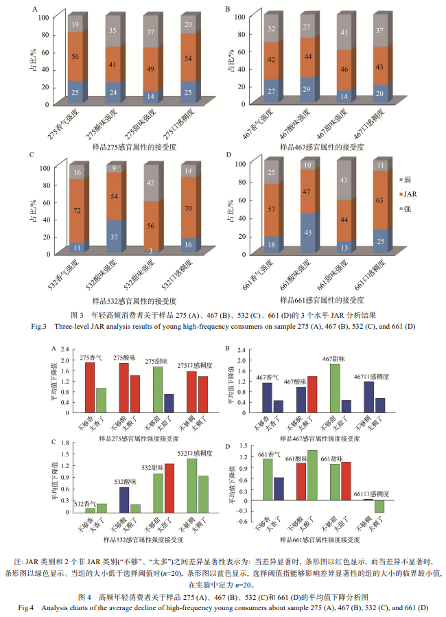
基于已收集的基本信息,通过对酸奶消费者进一步分类,结合酸奶产品的市场定位,分析不同人群的感官倾向。本研究将消费者进一步细化,聚焦在年龄18~35岁、每周消费1次以上的高频率年轻人群。此类消费者共79名(26名男性和53名女性),均是此次推出酸奶新品的目标消费者。采用惩罚分析进一步探索他们的喜好度和接受度。JAR采用5点打分制,3分为刚好(JAR),1与2分都为不足,4和5分都为超出。将JAR分数条合并,1(太弱)与2(有点弱)并为一项;4(有点强)与5(太强)并为一项,按照弱、JAR、强3类重新分析数据,得到3类人群的占比结果(图3)。
由图3可知,消费者针对275和661香气与稠度的接受度达到50%以上,而对于酸味、甜味的接受度都在50%以下(图3A、D)。年轻高频消费者人群接受度占比最高的酸奶是532,其中香气和稠度的接受度达到70%以上(图3C);接受度占比最低的是467,4个属性的接受度都达不到50%(图3B)。
酸奶的属性接受度代表消费者针对这个属性可以接受,但是不代表他们就喜欢目前的属性强度。因此需要进一步通过计算和比较3类别喜好度的平均值,确定显著差异,找到影响消费者喜好度的关键属性。两个非JAR类别和JAR类别的平均值之间的差异称为平均值下降。观察图4平均值下降结果,发现显著影响467整体接受度的感官属性是酸味,也即高频年轻消费者认为467太酸了(图4B)。针对接受度占比较高的532,高频年轻消费者认为太甜了。因此,后期调整甜味后就可以获得更好的消费者接受度。显著影响661整体接受度的感官属性为酸味和甜味,后期通过调整酸奶的酸甜比,可以提高产品的整体接受度。显著影响275整体接受度的感官属性有3个,其中普遍认为275不够香,酸味及稠度不合适。而消费者对于酸味、稠度表现出两种显著不同的优化方向。
因此,结合喜好度分析和接受度惩罚分析的结果,可以认为酸奶532是目前消费者喜好度最高的产品,后期通过降低其甜度,可以更好地提高其接受度,从而获得更多消费者的青睐。467的酸度是影响其接受度的主导因素,目标消费者认为其太酸了,通过降低酸度,可以提高467的接受度。高频消费者的结果分析中表明661酸甜比的贡献更显著,不够酸和太甜了是影响高频年轻消费者的重要因素。因而对于661,优化其酸甜比会更显著地提升消费者的接受度。275在不同消费者关于感官属性的4个方面都具有较大的差异性。年轻高频消费者关于酸度、稠度等方面分成了两组优化方向。另外两个属性,香气有56%的接受度,而甜味强度只有49%。因而275的产品配方需要进行改动后,才在市场上推广销售。

03、讨论与结论
消费者评价的结果可以直观地得出酸奶感官品质的优缺点,以消费者测评的结果为导向,利于酸奶产品的配方优化和市场开拓。本研究将常用于研究消费者感官评定喜好度分析、接受度分析、惩罚分析和词云频率分析进行联合,以获取消费者对样品最直观的感知,得出产品感官品质提升的定性信息,确定需要改进的属性、方向及程度,为确立最终的产品改进方案提供指导性建议。结果显示,本研究所测样品中257的配方接受度较低,未来需要对产品配方和定位进行改良。532是喜好度最高的产品,但是甜味的接受度并不高,未来可以考虑降低其甜度,再测试消费者的反馈。661需要优化其酸甜比,467的酸度是必须要调整的指标。未来在推出此酸奶产品时,需要考虑年轻人在产品包装、广告、购买方式和习惯等方面的因素,进而更好地进行市场推广。
值得肯定的是,本研究的设计也为类似产品研究提供一个模板,按照本研究流程对即将上市的样品进行研究,可以获取到消费者的直接意见,从而得出产品优化的方向和方案。但由于消费者群体的多样性和消费者个体的差异性,本研究所选取人群只能大致保证其普遍性,却不能完全代表整个消费者群体,这可能导致实验结果与实际市场效应存在一定差异,为了更好地了解消费者对产品的理解和感受、提高产品的接受度,今后可以进一步将相关产品的消费群体进行细化分类,以从中提取更多有效信息,不断改善产品品质。
参考文献:高 杰,润子木,马 蕊,刘 源,陈艳萍.消费者感官评价对酸奶品质提升的导向研究[J].食品安全质量检测学报,2022,13(21):6855-6861
来源:食品伙伴网食品研发创新服务中心,图片来源:创客贴会员。
提醒:文章仅供参考,如有不当,欢迎留言指正和交流。且读者不应该在缺乏具体的专业建议的情况下,擅自根据文章内容采取行动,因此导致的损失,本运营方不负责。如文章涉及侵权或不愿我平台发布,请联系处理。










